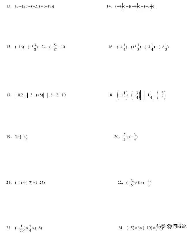
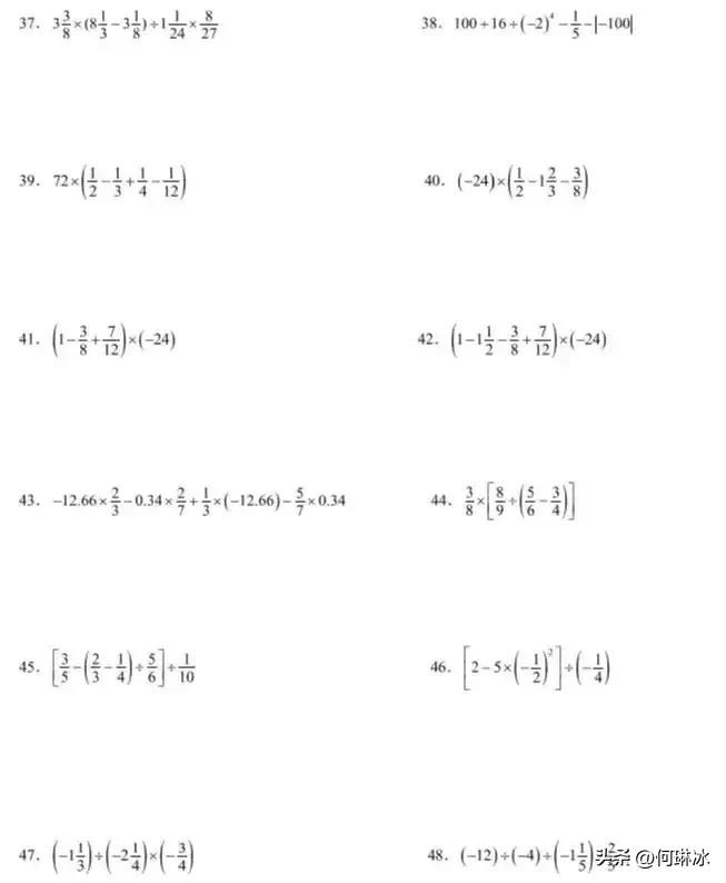
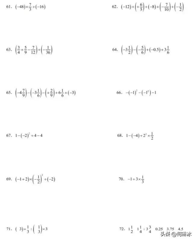
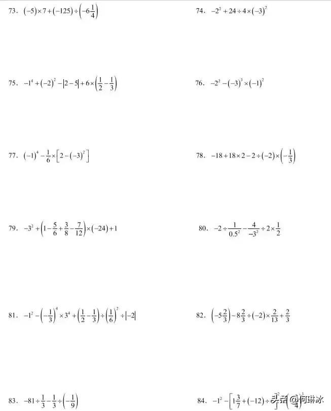
分享七年级数学有理数计算100道题含答案
分享七年级数学有理数计算100道题含答案










相关标签:
-
- 吴磊工作室道歉是怎么回事 网友:公关能力负分
-
2025-12-21 08:12:40
-
- 海贼王D一族的秘密,红发香克斯之死,黑胡子和路飞联手面对BOSS
-
2025-12-21 08:10:25
-
- 爆红的二次元发型 了解一下?
-
2025-12-21 08:08:11
-
- 5年前的苹果7plus到底还能值多少钱呢?
-
2025-12-21 08:05:56
-
- 花千骨同款桃花羹,做一份送给喜欢的人喝
-
2025-12-21 08:03:42
-
- 我国军衔等级大家知道吗?是不是时常搞不清呢,快来科普一下
-
2025-12-21 08:01:27
-
- 外国游客泰国芭提雅溺水获救
-
2025-12-21 07:59:13
-
- 图说·朝阳丨朝阳火车站,建于1927年,是朝阳第一座火车站
-
2025-12-21 07:56:58
-
- 全国高考大纲单词:mirror 镜子
-
2025-12-21 07:54:44
-
- 10款绿色清新头像|一抹青绿
-
2025-12-21 05:51:07
-
- 每日一词:argue|雅思托福词汇
-
2025-12-21 05:48:52
-
- 2024中国轮胎品牌十强揭晓
-
2025-12-21 05:46:38
-
- 合肥地铁1号线
-
2025-12-21 05:44:24
-
- 贵州花溪:“黄金大道”深秋的绝美画卷
-
2025-12-21 05:42:09
-
- 鬼刀超清手机插画壁纸,锁屏壁纸,你想要的鬼刀这都有
-
2025-12-21 05:39:55
-
- “载”的读音如何区分
-
2025-12-21 05:37:40
-
- 一碗热粥显温情 佛泉寺腊八施粥获赞
-
2025-12-21 05:35:26
-
- 广州警方辟谣“地铁口砍人事件”:两人因抢电动自行车停车位产生纠纷
-
2025-12-21 05:33:11
-
- 超养眼的古风动漫头像‖很有意境
-
2025-12-21 05:30:57
-
- 红烧咸鱼的做法
-
2025-12-21 03:42:55



柳州女孩莫菁:神秘背后的魅力之谜